Austenite and Ferrite (Crystallography and Diffraction)

H. K. D. H. Bhadeshia

Structure and Diffraction

Structure of austenite
X-ray diffraction pattern of austenite
X-ray diffraction pattern of austenite (Co radiation)
Electron diffraction from austenite
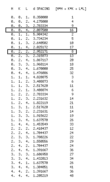
Data corresponding to X-ray diffraction pattern of austenite
Data corresponding to X-ray diffraction pattern of austenite (Co radiation)
Structure of ferrite
Electron diffraction from ferrite
X-ray diffraction pattern of ferrite
Data corresponding to X-ray diffraction pattern of ferrite
Diffraction from Epsilon Iron

Complex Diffraction Patterns from Multiple Phases

The following show analysis of complicated electron diffraction patterns containing ferrite, cementite and austenite. A computer program was used to aid analysis.
Ferrite and cementite The ferrite zone is first identified from the ratio of, and angle between, two of the reciprocal lattice vectors. With a knowledge of the lattice parameter of the ferrite, this then allows the camera constant to be calculated. The next step is to calculate the d-spacings of the spots associated with cementite using the camera constant, and similarly analyse the pattern for cementite. The pattern was taken by Lucy Fielding.
Ferrite and cementite The cementite is in Bagaryatski orientation relative to ferrite with [001]cementite parallel to [211] ferrite and [100]cementite parallel to [0 -1 1]ferrite. This can be taken as an indication that the cementite precipitated from the ferrite. The pattern was taken by Lucy Fielding.
Two ferrite crystals and one cementite precipitate. The pattern was taken by Lucy Fielding.
Three ferrite crystals. Notice also the spots arising by double diffraction. The pattern was taken by Ed Pickering.
Two ferrite crystals in twin orientation and one cementite precipitate. The twin patterns are related, for example, by a rotation of 180° about [1 2 -1]. This axis-angle pair can be represented in 24 crystallographically equivalent ways due to cubic symmetry. The pattern was taken by Lucy Fielding.
Diffraction pattern of ferrite and γ-Fe2O3 from a thin foil sample of steel. The oxide forms on the surface and makes a significant contribution to the overall pattern when the foil thickness is reduced. Also available are the crystal structure, caculated electron diffraction pattern and d-spacings for the iron oxide. The pattern was taken by Pei Yan.

Interstices

Carbon in octahedral interstice of austenite
Carbon in another equivalent octahedral interstice of austenite
Carbon in regular tetrahedral interstice of austenite
Carbon in octahedral interstice of ferrite
Carbon in tetrahedral interstice of ferrite
Structure of austenite
Structure of ferrite
Carbon in octahedral interstice of austenite
Carbon in octahedral interstice of austenite
Carbon atom in tetrahedral interstice of austenite
Carbon in octahedral interstice of ferrite
Carbon in an irregular tetrahedral interstice of ferrite
Carbon in an irregular tetrahedral interstice of ferrite
Carbon in tetrahedral interstice of ferrite









Atom Models of Austenite and Ferrite

The following images have kindly been provided by Andrew Fairbank who created them for teaching purposes. They are reproduced with permission.

fcc vs bcc vs bct 1
Face-centred cubic, body-centred cubic and body-centred tetragonal arrangements of iron atoms.
fcc vs bcc vs bct
Face-centred cubic, body-centred cubic and body-centred tetragonal arrangements of iron atoms.
fcc vs bcc
Body-centred cubic and face-centred cubic (alternatively, cubic close-packed) arrangements of iron atoms.
interstitial carbon in austenite 2
Carbon atom in an octahedral interstice in austenite.
interstitial carbon in austenite 3
Carbon atom in an octahedral interstice in austenite, with the face-centering iron atom replaced into position.
interstitial carbon in austenite 4
Carbon atom in an octahedral interstice in austenite.
interstitial carbon in ferrite 1
Carbon atom in an octahedral interstice in ferrite.
interstitial carbon in ferrite 2
Carbon atom in an octahedral interstice in ferrite.
interstitial carbon in ferrite
Carbon atom in an octahedral interstice in ferrite.
https://www.phase-trans.msm.cam.ac.uk/2007/tetra/tetrahetral carbon bcc
Possible position of carbon atom in a tetrahedral interstice in ferrite. Carbon prefers the octahedral interstices in ferrite.
https://www.phase-trans.msm.cam.ac.uk/2007/tetra/tetrahetral carbon bcc 2
Possible position of carbon atom in a tetrahedral interstice in ferrite.
https://www.phase-trans.msm.cam.ac.uk/2007/tetra/tetrahetral carbon bcc 1
Possible position of carbon atom in a tetrahedral interstice in ferrite. The strain energy is greater when carbon is in a tetrahedral interstice, because the expansion is isotropic, unlike the octahedral case where the strain is tetragonal.
https://www.phase-trans.msm.cam.ac.uk/2007/tetra/tetrahetral carbon bcc 3
Possible position of carbon atom in a tetrahedral interstice in ferrite.
substitutional hardening - chromium in iron 2
Chromium atom substituted into ferrite.
substitutional hardening - chromium in iron
Chromium atom substituted into ferrite.
substitutional hardening - silicon in iron
Silicon atom substituted into ferrite.
relative sizes
Atomic radii. It has been assumed in the preceding figures that iron has an atomic radius of 124 pm for all the crystal structures.



PT Group Home Materials Algorithms