
Dear Harry Attached is a picture of my class of "Phase transformation" course. This course is for international students of Master course. We are all enjoying your video and text. Thank you so much. With best wishes, Minoru |

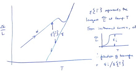
Plotting TTT/CCT diagrams from dilatometric data |

Dates from Dubai |

In Jeong Kim and Van Tuan Duong |

Coffee time, and cleaning the white board (photograph courtesy of You Young Song) |

|

Delicious rice cake to celebrate In Jeong Kim's baby reaching 100 days. |

Also mango slices (Hong Yeob Lee) and biscuits (Seung Woo Seo) |

|

|

Indian movie on Korean television |

Indian movie on Korean television |

Ed Pickering in a bananna suit (photograph courtesy of Chris Smith) |

Ed Pickering in a bananna suit (photograph courtesy of Chris Smith) |

Crystallography lectures |

An old picture of GIFT staff. Note Rongshan Qin. |