[MAP Logo]

Materials Algorithms Project
Program Library



Program MAP_STEEL_MALLOY

  1. Provenance of code.
  2. Purpose of code.
  3. Specification.
  4. Description of subroutine's operation.
  5. References.
  6. Parameter descriptions.
  7. Error indicators.
  8. Accuracy estimate.
  9. Any additional information.
  10. Example of code
  11. Auxiliary subroutines required.
  12. Keywords.
  13. Download source code.
  14. Links.

Provenance of Source Code

A.Y. Badmos and H.K.D.H. Bhadeshia, modified 2006 by M. Murugananth
Phase Transformations Group,
Department of Materials Science and Metallurgy,
University of Cambridge,
Cambridge, U.K.

Top | Next

Purpose

To calculate free energy of mixing, configurational enthropy of mixing, enthalpy of mixing, and structural interfacial energy in mechanical alloying as functions of concentration, particle size and temperature.

Top | Next | Prev

Specification

The program is self-contained.

Language: FORTRAN
Product form: Source code

Top | Next | Prev

Description

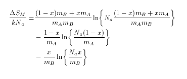
Molar entropy of mixing, Delta SM expressed as a function of atoms per particle is:-

Equation 1

where Na is Avogadro's number, mA is atoms per powder particle of A, mB is atoms per particle of B, and x is the mole fraction of B.

Molar enthalpy of mixing, Delta HM, is expressed as:-

Equation 2

where Omega is the regular solution parameter, 2delta is the boundary thickness (two monolayer) and SV is grain boundary area per unit volume.

Molar interface energy, Delta HI, is expressed as:-

Equation 3

where Vm is the molar volume and sigma is the interface energy per unit area.

The molar free energy, Delta GM, is then expressed as:-

Equation 4

Top | Next | Prev

References

  1. A.Y. Badmos, Ph.D. Thesis, University of Cambridge, UK, 1997.
  2. A.Y. Badmos and H.K.D.H. Bhadeshia, Metallurgical Transactions, 28A, 1-5, 1997.

Top | Next | Prev

Parameters

Input parameters

KTEMP - integer
Temperature in Kelvin at which the thermodynamic functions are to be evaluated.

OMEGA - integer
Regular solution parameter.

Output parameters

DELTAS - real
Predicted molar configurational entropy of mixing.

DELTAH - real
Predicted molar entropy of mixing.

DELTAE - real
Predicted molar interface energy.

DELTAG - real
Predicted free energy of mixing.

Top | Next | Prev

Error Indicators

In the case of Omega > 0, the effect is appreciable only when the value of Omega is above about 100.

Top | Next | Prev

Accuracy

No information supplied.

Top | Next | Prev

Further Comments

None.

Top | Next | Prev

Example

1. Program text

Complete program

2. Program data

  1. OMEGA = 100, KTEMP = 1000
  2. OMEGA = 0, KTEMP = 1000
  3. OMEGA = -100, KTEMP = 1000

3. Program results

Free energy, DELTAG, for different particle sizes (atoms per particle), M_A are:

  1. Omega = 100, mole fraction, x=0.5, temperature, T=1000K

       M_A=10^8, G=12.9669 J/mol
       M_A=10^2, G=12.9043 J/mol
       M_A=1,    G= -5.435 KJ/mol.
    
  2. Omega = 0, mole fraction, x=0.5, temperature, T=1000K

       M_A=10^8, G=12.2617 J/mol
       M_A=10^2, G= -57.6181 J/mol
       M_A=1,    G= -5.763 KJ/mol
    
  3. Omega = -100, mole fraction, x=0.5, temperature, T=1000K

        M_A=10^8, G=11.5564
        M_A=10^2, G= -128.14 J/mol
        M_A=1,    G= -6.090 KJ/mol
    

Top | Next | Prev

Auxiliary Routines

None.

Top | Next | Prev

Keywords

free energy of mixing, configurational enthropy of mixing, enthalpy of mixing, structural interfacial energy in mechanical alloying

Top | Next | Prev

Download

Download source code

Download modified source code (2006)

Top | Prev


MAP originated from a joint project of the National Physical Laboratory and the University of Cambridge.

Top | Index | MAP Homepage Valid HTML 3.2!