| Intro.. |  First Use |  Theory |  Diagrams |  Applications |  Misc |  Advanced | |
| [General]  [Binary]  [Ternary]  [Edit/Save] | |
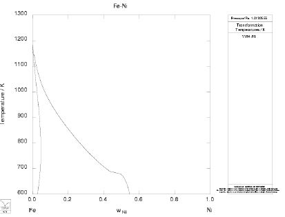
binary
define system 'Fe,Ni' source plus !
class normal p(*) !
set w 1 !
step temp 600 1300 10 !
compute diagram auto_binary !

To label an area, place the pointer on it, then type
Warning: do not move the pointer between the two commands, the first causes MTDATA to calculate which phase(s) is/are present in your selection, the second time causes it to be displayed. If you move in between, you might label an area different from that where the label was calculated.
| PT-group | 2003 Thomas Sourmail, Cambridge. | Please email feedback ! |